

#доработка_страницы
Почему клиенты не используют кредитную карту после получения?
Повышение транзакционной активности с помощью виджета о наличных без комиссии
Моя роль
UX UI дизайнер в команде из 20 сотрудников, отвечающей за использование продукта: детальные страницы кредитной карты и счета, так же информационные и сервисные операции
Каналы: web и android
Проблема
Клиенты получают кредитку и не используют её. Банк теряет деньги т.к. платит проценты ЦБ за выданные лимиты. Если клиенты не будут тратить деньги, банк не сможет заработать на процентах
Главная задача
Стимулировать использование кредитной карты, для увеличения доходности от кредитных карт для банка
Собрал данные
Самостоятельно происследовал задачу
Исследования центра клиентского опыта
Готовые собственные исследования и смежных команд
Тематики обращений в КЦ и чат по кредитной карте
Жалобы и клиентов
Яндекс метрики: просмотр страниц, визиты, кол-во кликов
Продумал гипотезы
Почему клиенты не пользуются кредитной картой? Возможные проблемы и решениях
О проблеме №1
Клиенты не пользуются кредитной картой, потому что боятся заплатить проценты, т.к. не знают, как она работает и тарифы по ней
Основание: вопросы по условиям и беспроцентному периоду входят в топ-5 в КЦ, нет страницы с тарифами
Решение
Отобразить информацию по условиям в более явном виде
Реализация №1
Разработать страницу «Ваши тарифы и условия»
Реализация №2
Сделать редизайн страницы «Ваш беспроцентный период»
Реализация №3
Сделать страницу
«Как пользоваться кредиткой»
О проблеме №2
Клиенты не начинают пользоваться кредитной картой в первые 30 дней, потому что не знают/забывают о специальных условиях
Основание: Информация о промо условиях находится на 5 уровне вложенности.
По метрикам, ее видят только 4% от тех, кто зашел в ВТБ Онлайн
Решение
Отображать информацию по спец. предложениям на верхнем уровне
Реализация №1
На страницах кредитной карты и счета сделать блоки, что доступно 100 000 руб. для перевода и снятия без комиссии и это войдет в их беспроцентный период.
Реализация №1
Показывать в ВТБ Онлайн что на покупки совершенные в первые 30 дней со дня получения карты действует постоянная сниженная процентная ставка — 10%,
Гипотеза о проблеме №3
Есть кредитные карты других банков, которыми удобнее/привычнее пользоваться
Основание: исследования
Решение
Стимулировать клиентов пользоваться кредитной картой ВТБ
Реализация №1
Повышенный кешбэк по кредитной карте
Реализация №2
Доп. карт к счету на третье лицо
Решение №3
Годовой бонус за покупки от 20т.р/месяц
Решение №4
Кредитный стикер для оплаты телефоном
Оценка решений с командой
По критериям
Есть ли готовые системные ли данные
Время разработки
Согласование артефактов и протоколов
Дополнительный бюджет
Срок поставки в прод
Ожидаемый эффект
Делаем блок о снятие наличных
Гипотеза о проблеме №2
Реализация №1
Для клиента
Может воспользоваться средствами на любые цели
Видит, что ему акция доступна и не нужно перепроверять.
Для банка:
Значительная часть людей оформляет кредитки, после отказа на кредит наличными
Не требуется доп. бюджет
Увеличивается оборот средств, больше доходность у кредитных карт
Для разработки:
Минимальная разработка — 2 дня
Минимум артефактов
Выход реализации — 2 недели
Где находилась информация
о снятии наличных до обновления
Подтвердили наличие проблемы. Видео прототип.
4 из 15
Респондентов нашли информацию на тестах
9%
Клиентов которые снимали и переводили наличные
Ожидаемый результат
14 из 15
Найдут информацию менее чем за минуту
+28%
Клиенты, которые снимают и переводят деньги в первые 30 дней
Джобы
Когда____, я как клиент хочу___, что бы___
Когда я перевожу деньги с кредитки, я хочу быть уверен, что условия до действуют, что бы сделать перевод без комиссии
Когда я хочу снять деньги с банкомата, я хочу видеть сколько средств мне доступно для снятия без комиссии, чтобы не заплатить комиссию и не платить проценты
Когда я делаю перевод я хочу, видеть до какого числа действует акция, что бы не считать дни самому с момента открытия
Когда я делаю перевод, я хочу видеть, сколько денег мне осталось доступно для перевода/снятия, что бы не считать самому и попасть на комиссию
Когда я захожу в личный кабинет, я хочу видеть все преимущества своей кредитной карты, котор- ые ограничены по времени, на главном экране, что бы суметь ими воспользоваться и чувствовать себя финансового грамотным
«В каких ситуациях мне это важно?»

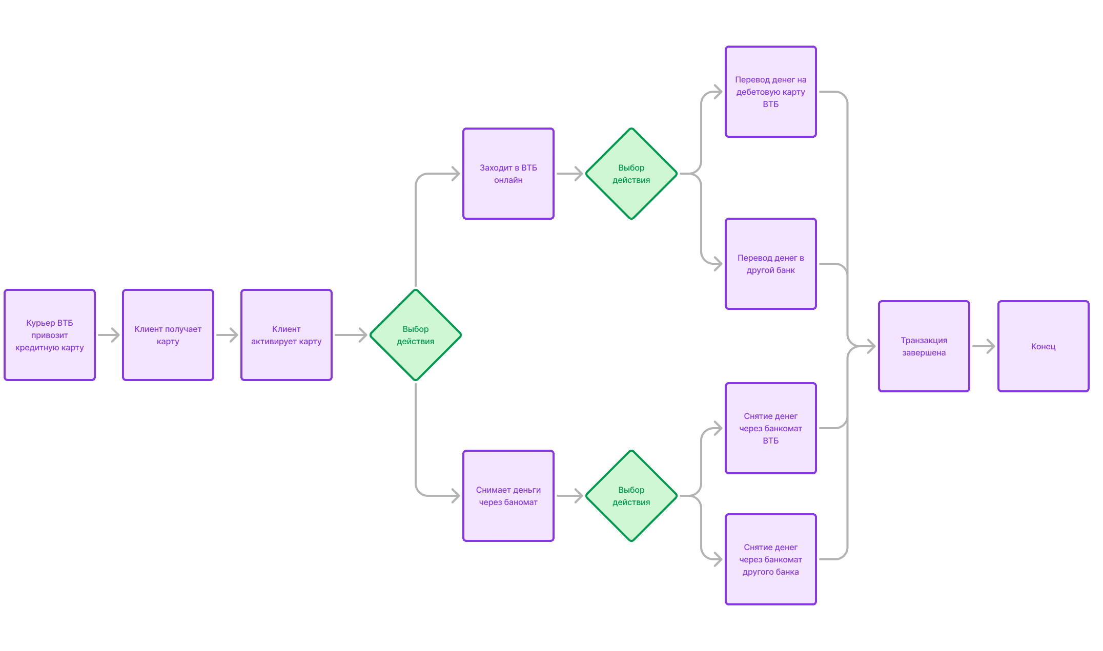
Снимаю деньги
В банкомате ВТБ
или другого банка

Делаю перевод
В ВТБ Онлайн в другой банк

Экстренная ситуация
Непредвиденные расходы: авто, здоровье и другие.
Пути пользователей
Проверить точки контакта, узнать, что указано про акцию о снятие наличных

MVP 1
Блок в деталках
Только для новых выдач
Дата
Сумма
Индикация доступности — наличие самого блока в деталке
MVP 2
Блок + страница
Для новых выдач + в рамках акции для старых
Дата
Сумма
Призыв + Кнопка перевести
Страница:
Снятие в банкоматах др. банков
Информация про СБП
Информация про перевод на свою дебетовую карту
Инфо про перевод на карту другого банка
Инфо о переводе на чужие банковские карты
Призыв + кнопка для перевода
Результаты реализация MVP 1
MVP 2 не состоялось, т.к. акция условия продукта изменили
14 из 15
Респондентов нашли информацию на тестах
+24%
Клиентов на новых выдачах кто начал снимать и переводить деньги с кредитки
Описал поведение
Когда кончились деньги блок остается. Не скрывается.
По истечению срока блок пропадает
Клик на блок вызывает сценарий команды переводов